環硅氧烷類物質,包括D4、D5和D6,是一類具有獨特化學結構的有機硅化合物。它們在多個行業中有著廣泛應用,但也因其對環境和健康的潛在風險而受到廣泛關注。本文將對歐盟近期針對環硅氧烷類物質的監管動態進行解讀。
環硅氧烷類物質概述
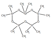
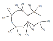
環硅氧烷類物質,如D4、D5和D6,是含有硅(Si)和氧(O)原子的環狀化合物。每個硅原子連接有兩個甲基基團(CH3),使其具有高度的化學穩定性和揮發性。這些物質在工業上主要用于生產硅聚合物,如硅油、硅橡膠和硅樹脂等。此外,它們也被廣泛應用于化妝品、洗滌劑、干洗和拋光產品中。
|
|
|
Octamethylcyclotetrasiloxane (D4) | Decamethylcyclopentasiloxane (D5) | Dodecamethylcyclohexasiloxane (D6) |
EC No. 209-136-7 | EC No. 208-764-9 | EC No. 208-762-8 |
CAS No.: 556-67-2 | CAS No.: 541-02-6 | CAS No.: 540-97-6 |
環境與健康風險
環硅氧烷類物質因其持久性、生物累積性和潛在的毒性而被歐盟列為高度關注物質(SVHC)。研究表明,這些物質能夠在環境中長期存在,并在生物體內積累,對生態系統和人類健康構成威脅。特別是D4,已被證實對水生生物具有高度毒性,并可能損害生育能力。此外,環硅氧烷類物質還具有長距離環境運輸的潛力,這意味著它們可能在遠離使用和生產地的地區,如北極和南極,造成環境污染。
歐盟監管動態
1. 統一分類與標簽(Harmonised Classification & Labelling)
- D4:已通過分類與標簽總結(Summary of Classification and Labelling),被統一分類為可能損害生育能力和對水生生物具有長期劇毒的物質。在歐盟供應D4的企業必須按照這一分類進行標簽。
- D5、D6:尚未統一分類,但需遵守歐盟化學品通用安全標識規則。
2. 高關注物質(SVHC)與REACH授權
- 2018年6月,D4、D5、D6 均被列入 REACH法規候選清單(Candidate List),因其具有:
- 持久性、生物累積性和毒性(PBT);
- 潛在內分泌干擾性(D4、D5)。
- 2021年4月,歐洲化學品管理局建議將它們納入授權清單,若通過,企業需申請授權才能繼續使用。
3. 化妝品法規限制
- 《歐盟化妝品法規》(EC No 1223/2009):
- D4、D5:禁止用于沖洗類化妝品(如洗發水、沐浴露),限值設定為0.1%(重量比)。
- D6:目前未明確限制,但因SVHC身份需進行風險評估。
4. REACH專項限制
- 2018年限制:歐盟在2018年1月根據REACH法規對D4和D5在沖洗類化妝品中的使用實施了限制,該限制于2020年2月生效,旨在減少這些物質在水環境中的排放。
- 2024年新限制:2024年5月,歐盟通過了一項新的限制措施,覆蓋了D4、D5和D6在留置類化妝品(如化妝品、面霜、美發產品等)、個人護理產品以及其他消費者或專業用途(如干洗、蠟和拋光產品、洗滌和清潔產品等)中的使用。這一限制措施預計將于2026年6月6日后生效,預計可將這些物質的排放量減少多達90%。
5. 持久性有機污染物(POPs)提案
- D4、D5、D6 被提議納入 《斯德哥爾摩公約》POPs清單,因其:
- 在環境中難降解;
- 可能通過空氣遠距離遷移污染。
- 若通過,將觸發全球性禁用或限用。
6. 執法行動
2022年,ECHA的執法論壇開展了一項試點項目,檢查化妝品中是否含有受REACH法規或POPs法規限制的環硅氧烷D4和D5。檢查發現,3%的受檢產品含有D4和/或D5,相關執法機構已采取措施將不符合規定的產品撤出市場。
瑞旭結語
歐盟對環硅氧烷類物質的監管措施體現了其對環境和公共健康的高度重視。通過逐步收緊的法規限制和嚴格的執法行動,歐盟旨在減少這些持久性和生物累積性物質的排放,保護生態系統和人類健康。企業需要密切關注相關法規的動態,及時調整生產和使用策略,以符合歐盟的監管要求。



