中文名稱:保健食品原料目錄 靈芝(征求意見稿)
英文名稱:Health Food Raw Materials Directory of Ganoderma (Draft)
發布時間:2022/10/25
截止時間:2022/11/25
發布單位:國家市場監督管理總局
附件3
《保健食品原料目錄 靈芝(征求意見稿)》
原料名稱 | 每日用量 | 功效 | |||
名稱 | 用量范圍 | 適宜人群 | 不適宜人群 | 注意事項 | |
靈芝
| 4-6g
| 免疫力低下者 | 少年兒童、孕婦、乳母 |
| 增強免疫力 |
靈芝原料技術要求
【來源】
多孔菌科真菌赤芝(Ganoderma lucidum (Leyss. ex Fr.) Karst.)、紫芝(Ganoderma sinense Zhao, Xu et Zhang)的干燥子實體。除去雜質,剪除附有朽木、泥沙或培養基質的下端菌柄,陰干或 40~50℃烘干而得。
【感官要求】
應符合表 1 規定。
表 1 感官指標
項目 | 要求 |
色澤 | 全體表面呈淺黃褐色或黃白色。斷面淺黃白色。 |
滋味、氣味 | 氣微而特異,味微苦、甘 |
狀態 | 赤芝:外形呈傘狀,菌蓋腎形、半圓形或近圓形,直徑 10~18cm,厚1~2cm。皮殼堅硬,黃褐色至紅褐色,有光澤,具環狀棱紋和輻射狀皺紋,邊緣薄而平截,常稍內卷。菌肉白色至淡棕色。菌柄圓柱形,側生,少偏生,長 7~15cm,直徑 1~3.5cm,紅褐色至紫褐色,光亮。孢子細小,黃褐色。 紫芝:皮殼紫黑色,有漆樣光澤。菌肉銹褐色。菌柄長 17~23cm。 栽培品 子實體較粗壯、肥厚,直徑 12~22cm,厚 1.5~4cm。皮殼外常被有大量粉塵樣的黃褐色孢子。 |
【鑒別】
1 本品粉末淺棕色、棕褐色至紫褐色。菌絲散在或粘結成團,無色或淡棕色,細長,稍彎曲,有分枝,直徑 2.5~6.5 μm。孢子褐色,卵形,頂端平截,外壁無色,內壁有疣狀突起,長 8~12 μm,寬 5~8 μm。
2 取本品粉末 2 g,加乙醇 30 mL,加熱回流 30 min,濾過,濾液蒸干,殘渣加甲醇2 mL 使溶解,作為供試品溶液。另取靈芝子實體對照藥材 2 g,同法制成對照藥材溶液。照薄層色譜法(通則 0502)試驗,吸取上述兩種溶液各 4 μl,分別點于同一硅膠 G 薄層板上,以石油醚(60~90℃)-甲酸乙酯-甲酸(15:5:1)的上層溶液為展開劑,展開,取出,晾干,置紫外光燈(365 nm)下檢視。供試品色譜中,在與對照藥材色譜相應的位置上,顯相同顏色的熒光斑點。
3 取本品粉末 1 g,加水 50 mL,加熱回流 1 小時,趁熱濾過,濾液置蒸發皿中,用少量水分次洗滌容器,合并洗液并入蒸發皿中,置水浴上蒸干,殘渣用水 5 mL 溶解,置 50 mL 離心管中,緩緩加入乙醇 25 mL,不斷攪拌,靜置 1 h,離心(轉速為每分鐘 4000 轉),取沉淀物,用乙醇 10 mL 洗滌,離心,取沉淀物,烘干,放冷,加 4 mol/L 三氟乙酸溶液 2 mL,置 10 mL 安瓿瓶或頂空瓶中,封口,混勻,在 120℃水解 3 h,放冷,水解液轉移至 50 mL 燒瓶中,用 2 mL 水洗滌容器,洗滌液并入燒瓶中,60℃減壓蒸干,用 70%乙醇 2 mL 溶解,置離心管中,離心,取上清液作為供試品溶液。另取半乳糖對照品、葡萄糖對照品、甘露糖對照品和木糖對照品適量,精密稱定,加 70%乙醇制成每 1 mL 各含 0.1 mg 的混合溶液,作為對照品溶液。照薄層色譜法(通則 0502)試驗,吸取上述兩種溶液各 3 μl,分別點于同一高效硅膠 G 薄層板上,以正丁醇-丙酮-水(5:1:1)為展開劑,展開,取出,晾干,噴以對氨基苯甲酸溶液(取 4-氨基苯甲酸 0.5g,溶于冰醋酸 9 mL 中,加水 10 mL 和 85%磷酸溶液 0.5 mL,混勻),在 105℃加熱約 10 分鐘,置紫外光燈(365 nm)下檢視。供試品色譜中,在與對照品色譜相應的位置上,顯相同顏色的熒光斑點。其中最強熒光斑點為葡萄糖,甘露糖和半乳糖熒光斑點強度相近,位于葡萄糖斑點上、下兩側,木糖斑點在甘露糖上,熒光斑點強度最弱。
【理化指標】
應符合表 2 規定。
表2 理化指標
項目 | 指標 | 檢測方法 |
水分,% ≤ | 17.0 | GB 5009.3 |
灰分,% ≤ | 3.2 | GB 5009.4 |
鉛(以Pb計),mg/kg ≤ | 1.0 | GB 5009.12 |
總砷(以As計),mg/kg ≤ | 0.5 | GB5009.11 |
總汞(以Hg計),mg/kg ≤ | 0.1 | GB 5009.17 |
鎘(以Cd計), mg/kg ≤ | 0.2 | GB 5009.15 |
【農藥殘留】
應符合表3規定。
表3 農藥殘留指標
農藥名稱 | 殘留物 | 最大殘留量mg/kg | 檢測方法 |
丁硫克百威 | 丁硫克百威 | 0.01 | GB 23200.13 |
樂果 | 樂果 | 0.01 | GB 23200.113、GB 23200.116、GB/T 5009.145、GB/T 20769、 |
硫丹 | α-硫丹和β-硫丹及硫丹硫酸酯之和 | 0.05 | GB/T5009.19 |
殺撲磷 | 殺撲磷 | 0.05 | GB 23200.8、GB 23200.113、GB 23200.116、GB/T 4553、 |
乙酰甲胺磷 | 乙酰甲胺磷 | 0.05 | GB 23200.113、GB 23200.116、GB/T 5009.103、GB/T 5009.145 |
特丁硫磷 | 特丁硫磷及其氧類似物(亞砜、砜)之和,以特丁硫磷表示。 | 0.01 | SN/T 4591 |
三氯沙螨醇 | 三氯沙螨醇(o,p'-異構體和p,p'-異構體之和 | 0.01 | GB 23200.110、 GB/T 5009.176 |
【標志性成分指標】
應符合表4規定。
表4 標志性成分指標
項目 | 指標 | 檢驗方法 |
多糖,% ≥ | 0.90(以無水葡萄糖(C6H12O6)計) | 1 多糖的測定 |
三萜及甾醇,% ≥ | 0.50 (以齊墩果酸(C30H48O3)計) | 2 三萜及甾醇的測定 |
1 多糖的測定
1.1 儀器與設備
1.1.1電子分析天平:精度 0.1 mg。
1.1.2 紫外可見分光光度計:±2nm。
1.1.3 電熱恒溫水浴鍋:±0.5 ℃。
1.1.4 離心機:(0-4000)rpm/min。
1.2對照品溶液制備
葡萄糖對照品的配制:準確稱取干燥至恒重的葡萄糖對照品適量,精密稱定,加水制成每1 mL含0.12 mg的溶液,即得。
硫酸蒽酮溶液的制備(臨用現配):準確稱取0.1 g蒽酮置于燒杯中,緩緩加入100 mL硫酸溶解,搖勻,即得。
1.3 標準曲線的繪制
分別精密量取葡萄糖對照品溶液 0.2 mL、0.4 mL、0.6 mL、0.8 mL、1.0 mL、1.2 mL,分別置于具塞試管中,補充水至 2.0 mL,加入硫酸蒽酮溶液 6 mL,立即搖勻,放置 15 min后,立即置冰浴中冷卻 15 min,取出,以相應的試劑為空白,用紫外可見分光光度計在 625nm 波長處測定吸光度。以葡萄糖質量為橫坐標,吸光度值為縱坐標,繪制標準曲線。
1.4 樣品的處理
取本品粉末約2 g,精密稱定,置圓底燒瓶中,加水60 mL靜置1小時,加熱回流4 h,趁熱濾過,用少量熱水洗滌濾器和濾渣,將濾渣及濾紙置燒瓶中,加水60 mL,加熱回流3 h,趁熱濾過,合并濾液,置水浴上蒸干,殘渣用水5 mL溶解,邊攪拌邊緩慢滴加乙醇75 mL,搖勻,在4℃放置12 h,離心,棄去上清液,沉淀物用熱水溶解并轉移至50 mL量瓶中,放冷,加水至刻度,搖勻,取溶液適量,離心,精密量取上清液3 mL,置25 mL量瓶中,加水至刻度,搖勻,即得。
1.5精密量取供試品溶液2 mL,置具塞試管中,照標準曲線制備項下的方法,自“迅速精密加入硫酸蔥酮溶液6 mL”起,同法操作,測定吸光度,從標準曲線上讀出供試品溶液中無水葡萄糖的含量,計算,即得。
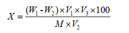
1.7 結果

X— 樣品中多糖含量(以葡萄糖計),mg/100g;
W1—從標準曲線上查得樣品測定液中含粗多糖的質量,mg;
W2—從標準曲線上查得樣品空白液中含粗多糖的質量,mg;
M—樣品質量,g;
V1—樣品沉淀物定容體積,mL;
V2—移取沉淀物溶液量,mL;
V3—移取液稀釋體積,mL;
100—單位換算系數。
2 三萜及甾醇的測定
2.1儀器與設備
2.1.1 電子分析天平:精度0.1 mg。
2.1.2 紫外可見分光光度計:±2 nm。
2.1.3 超聲波清洗器:功率≥45 W。
2.1.4 電熱恒溫水浴鍋:±0.5 ℃。
2.2 試劑與溶液
2.2.1 高氯酸,分析純。
2.2.4 冰醋酸,分析純。
2.2.5 香草醛,分析純。
2.2.6 乙酸乙酯,分析純。
2.3對照品溶液制備
齊墩果酸對照品的配制:取齊墩果酸對照品(純度≥98%)適量,精密稱定,加甲醇制成每1 mL含0. 2 mg的溶液,即得。
香草醛冰醋酸溶液(臨用現配):精密稱取香草醛0.5 g,加冰醋酸使溶解成10 mL,即得。
2.4標準曲線的繪制
精密量取對照品溶液0.1、0.2、0.3、0.4、0.5 mL,分別置15 mL具塞試管中,揮干,放冷,精密加入新配制的香草醛冰醋酸溶液0.2 mL,高氯酸0.8 mL,搖勻,在70℃水浴中加熱15min,立即置冰浴中冷卻5分鐘,取出,精密加入乙酸乙酯4 mL,搖勻。用分光光度計于
546 nm波長處測定吸光度,以吸光度為縱坐標、濃度為橫坐標繪制標準曲線。
2.5 樣品的處理
取本品粉末約2 g,精密稱定,置具塞錐形瓶中,加乙醇50 mL,超聲處理(功率140W,頻率42kHz)45分鐘,濾過,濾液置100 mL量瓶中,用適量乙醇,分次洗滌濾器和濾渣,洗液并入同一量瓶中,加乙醇至刻度,搖勻,即得。
2.6 樣品的測定
精密量取供試品溶液0.2 mL,置15 mL具塞試管中,照標準曲線制備項下的方法,自“揮干”起,同法操作,測定吸光度,從標準曲線上讀出供試品溶液中齊墩果酸的含量,計算,即得。
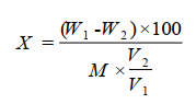
2.7 結果
X— 樣品中三萜及甾醇含量(以齊墩果酸計),mg/100g;
W1—從曲線上查得樣品測定液中含三萜及甾醇的質量,mg;
W2—從曲線上查得樣品空白液中含三萜及甾醇的質量,mg;
M— 樣品質量,g;
V1—樣品測定液總體積,mL;
V2—比色測定時所移取樣品測定液的體積,mL。
【儲存】存放于通風、干燥、陰涼的倉庫內,嚴禁與有害、有異味、有腐蝕性的物品混貯,
堆放須隔墻離地。防霉,防蛀。
【產品劑型及生產工藝要求】片劑(含片、咀嚼片、口服片)、硬膠囊、軟膠囊、粉劑、口服溶液、顆粒劑,茶劑(不含茶葉)
靈芝原料在產品備案時,允許僅以物理粉碎,或僅經水提取,制成產品時不應再有其他引起物質基礎發生改變的生產工藝。
靈芝打粉的主要參考工藝為:粉碎、滅菌(一般采取濕熱滅菌等滅菌方法),干燥,過篩(80-100 目)
靈芝經水提取的主要參考工藝為:粉碎、過篩(10 目),水煎 2-3 次(水量:10-12 倍,時間:1-2h),過濾(200目),濃縮,干燥
