01 目標定位的實用性:
非劣效試驗的目標是證明新醫療器械在治療效果上不差于已有的標準治療(即與已經被批準上市的、具有確切臨床效果的同類器械進行對比)。這種設計類型適用于市場上已有成熟產品,而新產品主要通過提供成本效益比更高、更便捷或安全性更高的優勢來獲得市場份額。這種情況下,非劣效試驗可以更直接地反映新產品的市場競爭力。
當標準治療已經能夠提供良好的治療效果時,進行優效試驗可能涉及將患者置于可能效果較差的新治療中,這在倫理上可能難以接受。非劣效試驗允許患者接受至少不差于當前的標準治療,從而在保障患者利益的同時進行臨床研究。
在非劣效試驗中,研究者不需要證明新醫療器械比現有標準治療更好,只需證明其效果不差于標準治療。這簡化了試驗的統計設計和數據分析過程,因為它主要關注治療效果差異的下限是否超過預先設定的非劣效界值。相比之下,優效試驗需要證明新醫療器械的治療效果顯著優于目前的標準治療,這往往需要更大的樣本量,下舉例說明。
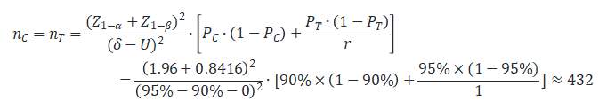
假設標準治療(即對照組)的有效率為90%(PC)、新醫療器械(即試驗組)的有效率為95%(PT),在單側檢驗水準α=0.025、檢驗效能80%(β=0.2),試驗組和對照組按1:1的比例下,非劣效界值取常規的L=-10%、優效界值取最低要求的U=0,
非劣效樣本量:

如再考慮10%的脫落率,試驗組和對照組都至少需要54例,總樣本至少需要108例。
優效樣本量:

如再考慮10%的脫落率,試驗組和對照組都至少需要480例,總樣本至少需要960例。
04 市場準入速度:
由于非劣效試驗的設計和目標更符合現實市場的需求,這種類型的試驗通常可以更快完成,并且更容易獲得監管機構的批準。這對于希望盡快將產品推向市場的醫療器械公司來說是一個不可忽視的優勢。
在實際應用中,以下情況必須選擇優效設計類型:
一、以“空白”為對照(即安慰劑);
二、申辦方有足夠的信心來證明自己的產品比目前已上市的產品更優。
除上述兩種情況外,在兩平行對照設計時建議采用非劣效設計,原因:
一、非劣效設計可以通過計算組間療效差的95%CI的下限(若大于0)來檢驗優效性結論,達到“錦上添花”的作用(推薦在方案中預先指明);
二、失敗的優效性研究是不允許再進行非劣效檢驗的。
總而言之,非劣效試驗設計在醫療器械臨床試驗中提供了一種高效、經濟且符合倫理的方法,使得新產品能夠在證明其安全性和有效性的同時,展示其在現有市場中的競爭力。對于申辦方而言,選擇非劣效試驗不僅可以加速產品上市過程,還可以在競爭激烈的醫療器械市場中占據有利地位。
