2020年,國家衛健委僅發布了一則涉及新食品原料批準的公告(2020年第4號),共批準了4個新食品原料,其中包括3個可用于嬰幼兒食品的菌種:瑞士乳桿菌 R0052,嬰兒雙歧桿菌 R0033,兩歧雙歧桿菌 R0071及1個植物原料趕黃草。
此外,由國家衛健委(NHC)和國家食品安全風險評估中心(CFSA)網站查詢可知,2020年全年衛健委共新受理新食品原料申請11個,發布7個原料的征求意見稿,并新增終止審查原料7個。瑞旭集團帶您詳細盤點2020年我國新食品原料的受理與審批情況。
一、2020年新食品原料的受理名單(11個)
2020年衛健委共公開受理了11個新食品原料申請,包含國產產品10個和進口產品1個。經查詢,2020年03月10日受理的“文冠果油”已終止審查,審查意見為按普通食品管理; “透明質酸鈉”已于2020年09月03日通過CFSA專家評審委員會的技術審查,公開征求意見。其余的9個新原料推測均還在技術審評或資料補正中。
序號 | 受理時間 | 受理編號 | 名稱 |
1 | 2020-01-15 | 衛食新申字(2020)第0001號 | 東革阿里提取物 |
2 | 2020-03-10 | 衛食新申字(2020)第0002號 | 文冠果油 |
3 | 2020-06-15 | 衛食新申字(2020)第0003號 | β-羥基-β-甲基丁酸鈣 |
4 | 2020-06-23 | 衛食新申字(2020)第0004號 | 透明質酸鈉 |
5 | 2020-09-01 | 衛食新申字(2020)第0005號 | 牦牛膠原蛋白肽 |
6 | 2020-09-24 | 衛食新申字(2020)第0006號 | 金蓮花 |
7 | 2020-10-20 | 衛食新申字(2020)第0007號 | 嗜酸乳桿菌NCFM |
8 | 2020-11-18 | 衛食新申字(2020)第0008號 | D-阿洛酮糖 |
9 | 2020-11-18 | 衛食新進申字(2020)第0001號 | γ-氨基丁酸 |
10 | 2020-12-10 | 衛食新申字(2020)第0009號 | 堇葉碎米薺 |
11 | 2020-12-21 | 衛食新申字(2020)第0010號 | L-阿拉伯糖 |
二、2020年CFSA發布征求意見的新食品原料(7個)
2020年通過專家評審委員會技術審查,公開征求意見的新食品原料一共7個,經查詢,目前此7個原料都未正式批準通過。
(1)乳礦物鹽(公告草案):
中文名稱 | 乳礦物鹽 | |
英文名稱 | Milk minerals | |
基本信息 | 來源:乳清 | |
生產工藝簡述 | 以乳清為原料,經純化、超濾和干燥等工藝制成。 | |
推薦食用量 | ≤5克/天 | |
質量要求 | 性狀 | 白色粉末 |
鈣 | 23.0-28.0% | |
磷 | 10.0-16.0% | |
蛋白質 | ≤7.0% | |
脂肪 | ≤1.0% | |
乳糖 | 4.0-11.0% | |
灰分 | 70.0-78.0% | |
水分 | ≤6.0% | |
pH值(10%溶液) | 6.4-7.5 | |
其他需要說明的情況 | 1. 使用范圍不包括嬰幼兒食品。 2. 食品安全指標按照我國現行食品安全國家標準中乳制品的規定執行。 | |
公告時間/鏈接 | 2020-07-14 | |
公開受理日期 | 2013.02.06受理,衛食新進申字(2013)第0003號 | |
備注 | 乳礦物鹽已于2009年被批準為新資源食品,本次征求意見的乳礦物鹽在生產工藝及質量要求上與原公告有所不同。 | |
(2)馬乳酒樣乳桿菌馬乳酒樣亞種(公告草案):
中文名稱 | 馬乳酒樣乳桿菌馬乳酒樣亞種 |
拉丁名稱 | Lactobacillus kefiranofaciens subsp. kefiranofaciens |
其他需要說明的情況 | 1. 嬰幼兒不宜食用,標簽及說明書中應當標注不適宜人群。 2. 食品安全指標應符合我國相關標準。 |
公告時間/鏈接 | 2020-07-14 |
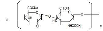
(3)透明質酸鈉(公告草案):
中文名稱 | 透明質酸鈉 | |
拉丁名稱 | Sodium Hyaluronate | |
基本信息 | 來源:馬鏈球菌獸疫亞種(Streptococus equi subsp.zooepidemicus) 結構式:
分子式:(C14H20NNaO11)n,n為200-10000 分子量:8.02×104 —4.01×106 | |
生產工藝簡述 | 以葡萄糖、酵母粉、蛋白胨等為培養基,由馬鏈球菌獸疫亞種經發酵生產而成。 | |
推薦食用量 | ≤200 毫克/天 | |
質量要求 | 性狀 | 白色顆粒或粉末 |
透明質酸鈉含量 | ≥87.0% | |
水分 | ≤10.0% | |
pH | 6.0-8.0 | |
灰分 | ≤13.0% | |
其他需要說明的情況 | 1. 使用范圍包括乳及乳制品,飲料類,酒類,可可制品、巧克力和巧克力制品(包括代可可脂巧克力及制品)以及糖果,冷凍飲品,但不包括嬰幼兒食品。 2. 食品安全指標須符合以下規定: 鉛(Pb)/(mg/kg):≤0.5 砷(As)/(mg/kg):≤0.3 | |
公告時間/鏈接 | 2020-09-03 | |
公開受理日期 | 透明質酸鈉曾多次出現受理: 2013.09.30受理,衛食新進申字(2013)第0029號; 2013.09.29受理,衛食新申字(2013)第0034號; 2020.06.23受理,衛食新申字(2020)第0004號 | |
備注 | 我國于 2008 年批準透明質酸鈉為新資源食品,使用范圍為保健食品原料。本次征求意見稿將其使用范圍擴大至普通食品類。 | |
(4)食葉草(公告草案):
中文名稱 | 食葉草 |
拉丁名稱 | Rumex patientia L. ×Rumex tianshanicus A. Los |
基本信息 | 種屬:蓼科、酸模屬 食用部位:莖和葉 |
推薦食用量 | ≤50 克/天(以鮮品計) |
其他需要說明的情況 | 1. 嬰幼兒、孕婦、哺乳期婦女不宜食用,標簽、說明書應當標注不適宜人群。 2. 食品安全指標按照我國現行食品安全國家標準中葉菜類蔬菜的規定執行。 |
公告時間/鏈接 | 2020-11-12 |
公開受理日期 | 2019.10.10受理,衛食新申字(2019)第0003號 |
(5)二氫槲皮素(公告草案):
中文名稱 | 二氫槲皮素 | |
英文名稱 | Dihydroquercetin | |
基本信息 | 來源:松科、落葉松亞科、落葉松屬、落葉松組長白落葉松根部 化學名稱:3,5,7,3’,4’-五羥基二氫黃酮 CAS:480-18-2 分子式:C15H12O7 結構式:
| |
生產工藝簡述 | 以人工種植的長白落葉松的根部為原料,經去皮、撕裂處理,進行提取、濃縮、醇沉、上清液濃縮、萃取、再濃縮、結晶、離心分離、冷凍真空干燥、粉碎過篩等工藝制成。 | |
推薦食用量 | ≤100 毫克/天 | |
質量要求 | 性狀 | 淺黃色或類白色粉末 |
二氫槲皮素含量 | ≥90.0% | |
其他需要說明的情況 | 1. 使用范圍和最大使用量:飲料(20 mg/L),發酵乳和風味發酵乳(20 mg/kg),可可制品、巧克力和巧克力制品(70 mg/kg)。 2. 嬰幼兒、兒童(14歲及以下)、孕婦、哺乳期婦女不宜食用,標簽、說明書應當標注不適宜人群。 3. 食品安全指標須符合以下規定: | |
鉛(Pb)/(mg/kg) | ≤0.5 | |
砷(As)/(mg/kg) | ≤0.3 | |
鎘(Cd)/(mg/kg) | ≤0.5 | |
汞(Hg)/(mg/kg) | ≤0.1 | |
菌落總數/(CFU/g) | ≤1000 | |
大腸菌群/(MPN/g) | ≤3.0 | |
霉菌和酵母菌/(CFU/g) | ≤50 | |
致病菌(沙門氏菌、金黃色葡萄球菌) | 0/25g | |
公告時間/鏈接 | 2020-11-12 | |
(6)鼠李糖乳桿菌MP108(公告草案):
中文名稱 | 鼠李糖乳桿菌MP108 |
拉丁名稱 | Lactobacillus rhamnosus MP108 |
其他需要說明的情況 | 1. 可用于嬰幼兒食品的菌種。 2. 食品安全指標應符合我國相關標準。 |
公告時間/鏈接 | 2020-11-12 |
公開受理日期 | 2019.12.13受理,衛食新申字(2019)第0006號 |
(7)雨生紅球藻油(公告草案):
中文名稱 | 雨生紅球藻油 | |
拉丁名稱 | Haematococcus pluvialis oil | |
基本信息 | 來源:綠藻門、團藻目、紅球藻屬雨生紅球藻(Haematococcus pluvialis) | |
生產工藝簡述 | 選育優良雨生紅球藻藻種進行人工養殖,采收雨生紅球藻孢子,經破壁、萃取等工藝制成。 | |
推薦食用量 | ≤240 mg/天 | |
質量要求 | 性狀 | 深紅色油狀液體 |
總蝦青素含量 | ≥5% | |
全反式蝦青素含量/總蝦青素含量 | ≥70% | |
其他需要說明的情況 | 1. 使用范圍不包括嬰幼兒食品。 2. 食品安全指標參照我國現行食品安全國家標準中植物油的相關規定執行,此外微囊藻毒素(LR、RR、YR)<1 μg/kg。 | |
公告時間/鏈接 | 2020-12-28 | |
三、2020年批準的新食品原料(4個)
2020年批準通過的新食品原料共計4個,各產品的詳細批準信息如下:
(1)瑞士乳桿菌R0052
中文名稱 | 瑞士乳桿菌R0052 |
拉丁名稱 | Lactobacillus helveticus R0052 |
其他需要說明的情況 | 1. 批準為可用于嬰幼兒食品的菌種。 2. 食品安全指標應當符合我國相關標準。 |
公開受理日期 | 2013.09.30受理,衛食新進申字(2013)第0030號 |
征求意見日期 | 2019.05.22通過技術審查,發布征求意見稿 |
正式批準日期 |
(2)嬰兒雙歧桿菌R0033
中文名稱 | 嬰兒雙歧桿菌R0033 |
英文名稱 | Bifidobacterium infantis R0033 |
其他需要說明的情況 | 1. 批準為可用于嬰幼兒食品的菌種。 2. 食品安全指標應當符合我國相關標準。 |
公開受理日期 | 2013.09.30受理,衛食新進申字(2013)第0032號 |
2019.05.22通過技術審查,發布征求意見稿 | |
正式批準日期 |
(3)兩歧雙歧桿菌R0071
中文名稱 | 兩歧雙歧桿菌R0071 |
英文名稱 | Bifidobacterium bifidum R0071 |
其他需要說明的情況 | 1. 批準為可用于嬰幼兒食品的菌種。 2. 食品安全指標應當符合我國相關標準。 |
公開受理日期 | 2013.09.30受理,衛食新進申字(2013)第0031號 |
征求意見日期 | 2019.05.22通過技術審查,發布征求意見稿 |
正式批準日期 |
(4)趕黃草
中文名稱 | 趕黃草 |
英文名稱 | Penthorum?chinense Pursh. |
基本信息 | 種屬:虎耳草科、扯根菜屬 食用部位:莖和葉 |
生產工藝簡述 | 由人工種植的趕黃草的莖和葉經揀選、凈制、淋潤、切制、干燥等工藝制成。 |
推薦食用量 | ≤ 8 克/天 |
其他需要說明的情況 | 1. 嬰幼兒、少年兒童、孕婦及哺乳期婦女不宜食用,標簽、說明書應當標注不適宜人群。 2. 食用方式:泡飲。 3. 食品安全指標按照我國現行食品安全國家標準中茶葉的規定執行。 |
征求意見日期 | 2019.01.14通過技術審查,發布征求意見稿 |
正式批準日期 |
四、2020年終止審查的7個產品
除此之外,據瑞旭集團查詢,2020年共有7個新食品原料列入終止審查名單,相關終止審查意見如下。對于新食品原料申報企業來說,拿到終止審查中的“普通食品”、“實質等同”和“地方傳統食用習慣”的審查結果也是一種“獲得批準”的方式。
序號 | 產品名稱 | 審查意見 | 受理日期和編號 |
1 | 養殖暗紋東方鲀 | 鑒于原農業部辦公廳和原國家食品藥品監督管理總局辦公廳發布《關于有條件放開養殖紅鰭東方鲀和養殖暗紋東方鲀加工經營的通知》,且農業農村部已公布其源基地名單,建議終止審查。 | 2011.01.06,衛食新申字(2011)第0001號 |
2 | 養殖紅鰭東方鲀 | 鑒于原農業部辦公廳和原國家食品藥品監督管理總局辦公廳發布《關于有條件放開養殖紅鰭東方鲀和養殖暗紋東方鲀加工經營的通知》,且農業農村部已公布其源基地名單,建議終止審查。 | 2010.12.14,衛食新申字(2010)第0028號; 2010.08.06,衛食新申字(2010)第0015號 |
3 | 當歸 | 鑒于國家衛生健康委員會已發布《關于當歸等6種新增按照傳統既是食品又是中藥材的物質公告》,建議終止審查。 | 2012.04.01,衛食新申字(2012)第0007號 |
4 | 荒漠肉蓯蓉 | 鑒于國家衛生健康委員會已發布《關于對黨參等9種物質開展按照傳統既是食品又是中藥材的物質管理試點工作的通知》,建議終止審查。 | 2015.07.06,衛食新申字(2015)第0005號 |
5 | 鐵皮石斛 | 鑒于國家衛生健康委員會已發布《關于對黨參等9種物質開展按照傳統既是食品又是中藥材的物質管理試點工作的通知》,建議終止審查。 | 2013.09.30,衛食新申字(2013)第0039號 |
6 | 油葡萄(山桐子)油(后更名為“山桐子油(油葡萄油)”) | 鑒于該產品具有長期人群食用歷史,且國家糧食和物資儲備局已發布相關標準《LS/T3258-2018山桐子油》,建議終止審查,按普通食品管理。 | 2019.12.09,衛食新申字(2019)第0005號 |
7 | 文冠果油 | 鑒于該產品具有長期人群食用歷史,且國家糧食和物資儲備局已發布標準《LS/T3265-2019文冠果油》,建議終止審查,按普通食品管理。 | 2020.03.10,衛食新申字(2020)第0002號 |
結語:
新食品原料(新資源食品)作為“三新食品”中的一員,其申報要求和官方審核都是最為復雜和嚴格的。從受理到最終正式通過往往需要至少2-3年的時間,其中受理到征求意見的周期也需要至少1年左右。除原料自身的性質和使用歷史情況外,其充分的研發資料和安全性評估資料的準備都與產品申報周期息息相關。相關申報企業應加強對法規和政策的理解與執行,做好新食品原料的申報注冊準備工作。
注:自2008年起,衛健委共公開受理新食品原料(新資源食品)約370個,批準新食品原料(新資源食品)、可食用菌種和可用于嬰幼兒食品的菌種144個,終止審查54個。您可通過獲取瑞旭集團發布的《新食品原料中國市場準入指南》查看完整的新食品原料批準名單及終止審查名單。
我們的服務:


